Забор Что можно написать на заборе? Да все, что угодно!
Ответить
Перейти к новому Перейти к новому   Опции темы Опции просмотра
Помогите решить | by -=Тоша=-
Непрочитано 31.03.2008, 12:40   # 1
 
Аватар для -=Тоша=-
 
Регистрация: 16.08.2007
Адрес: Красноярск
Возраст: 37
Сообщений: 868
Байк: черный
-=Тоша=- вне форума
По умолчанию Помогите решить
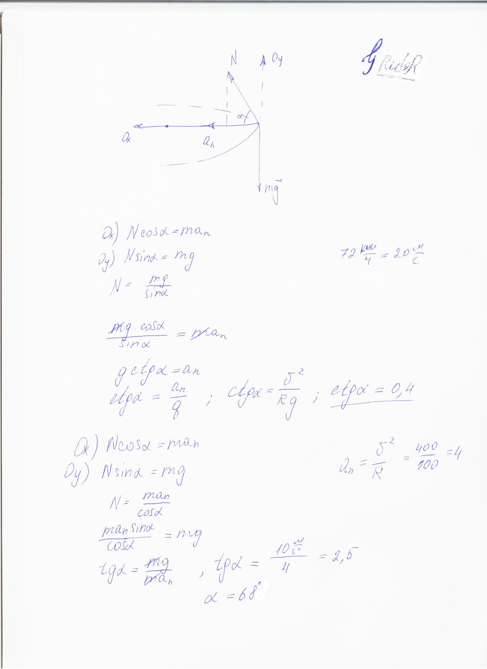
Мотоциклист едет по горизонт дороге со скоростью 72км в час делая поворот радиусом 100м. На какой угол при этом он должен отклониться,чтобы не упасть при повороте. Не могу составить уранение (F=ma) между центростремительным ускорением и силами,желательно рисунок.
Актуально до завтра,до утра
Цитата
Непрочитано 31.03.2008, 13:18   # 2
3.2%
 
Аватар для Kефир
 
Регистрация: 01.08.2005
Адрес: Ленинград
Возраст: 40
Сообщений: 7,935
Записей в дневнике: 1
Байк: Старый Притон
Отправить сообщение для Kефир с помощью ICQ
Kефир вне форума
Рассчитай обе силы, центробежную и притяжения, они перпендикулярны. Потом делишь одну на другую и берешь арктангенс - это будет ответ.
Цитата
Непрочитано 31.03.2008, 13:30   # 3
 
Аватар для Дрюня
 
Регистрация: 27.03.2007
Адрес: Брест[Белорусь]
Сообщений: 24
Дрюня вне форума
0X: (m*v^2/R)=N*sin(a) (1)
0Y: 0=N*cos(a)-m*g (2)

делишь одно на другое и получаешь
tg(a)=v^2/R*g
Цитата
Непрочитано 31.03.2008, 14:02   # 4
 
Аватар для -=Тоша=-
 
Регистрация: 16.08.2007
Адрес: Красноярск
Возраст: 37
Сообщений: 868
Байк: черный
-=Тоша=- вне форума
Цитата:
Сообщение от Дрюня
0X: (m*v^2/R)=N*sin(a) (1)
0Y: 0=N*cos(a)-m*g (2)

делишь одно на другое и получаешь
tg(a)=v^2/R*g
Ты крут,ответ 22 как и должно быть,у меня не получалось потому что я N располагал перпендикулярно дороге,вроде так должно быть (((
Цитата
Непрочитано 31.03.2008, 14:38   # 5
 
Аватар для ZXprSL
 
Регистрация: 25.02.2007
Адрес: ЯНАО г.Ноябрьск
Возраст: 45
Сообщений: 618
Байк: на раме ZHI Z1 `07
ZXprSL вне форума
Ого когда-то решал такие задачи а ща ваще понятия не имею чуть мозг не лопнул

молодцы...
Цитата
Непрочитано 31.03.2008, 14:45   # 6
 
Аватар для G-Ryder
 
Регистрация: 19.12.2006
Адрес: Большое Козино
Возраст: 34
Сообщений: 2,104
Байк: как у Лехи
Отправить сообщение для G-Ryder с помощью ICQ
G-Ryder вне форума
напиши мне свою асю,я тебе все с рисунком кину,а то здесь нельзя формат bmp вставлять
Цитата
Непрочитано 31.03.2008, 14:50   # 7
 
Аватар для G-Ryder
 
Регистрация: 19.12.2006
Адрес: Большое Козино
Возраст: 34
Сообщений: 2,104
Байк: как у Лехи
Отправить сообщение для G-Ryder с помощью ICQ
G-Ryder вне форума
вот короче,через тангенс или катангенс,и два ответа,в зависимости от чего надо угол находить,от нормали или от плоскости ,68 или 22 градуса,вообщем смотри!
Миниатюры
Нажмите на изображение для увеличения
Название: 22_353.jpg
Просмотров: 343
Размер:	139.9 Кб
ID:	23232  
Цитата
Непрочитано 31.03.2008, 15:18   # 8
 
Аватар для -=Тоша=-
 
Регистрация: 16.08.2007
Адрес: Красноярск
Возраст: 37
Сообщений: 868
Байк: черный
-=Тоша=- вне форума
Все,уже )) всем спасибо,я принцип знаю почти сам решил,просто немного не додумал) рисунок сам сразу нарисовал
Цитата
Помогите решить | by -=Тоша=-
Ответить


Ваши права в разделе
Вы не можете создавать новые темы
Вы не можете отвечать в темах
Вы не можете прикреплять вложения
Вы не можете редактировать свои сообщения

BB коды Вкл.
Смайлы Вкл.
[IMG] код Вкл.
HTML код Выкл.

Быстрый переход


Часовой пояс GMT +4, время: 06:15.


Powered by vBulletin® Version 3.8.4
Copyright ©2000 - 2026, Jelsoft Enterprises Ltd. Перевод: zCarot