Непрочитано 26.08.2009, 02:34   # 1
Очумелые ручки
 
Аватар для Water
 
Регистрация: 16.12.2005
Адрес: ювао
Возраст: 37
Сообщений: 2,207
Записей в дневнике: 2
Байк: простой
Отправить сообщение для Water с помощью ICQ
Water вне форума
По умолчанию матан
доброго времени суток. По причине собственной тупости, вынужден просить помощи.
если кому не трудно, будьте добры, помогите...
Миниатюры
Нажмите на изображение для увеличения
Название: 5.jpg
Просмотров: 493
Размер:	103.8 Кб
ID:	29400   Нажмите на изображение для увеличения
Название: 6.jpg
Просмотров: 402
Размер:	93.0 Кб
ID:	29401   Нажмите на изображение для увеличения
Название: 7.jpg
Просмотров: 418
Размер:	98.7 Кб
ID:	29402   Нажмите на изображение для увеличения
Название: 8.jpg
Просмотров: 386
Размер:	99.9 Кб
ID:	29403  
Цитата
Непрочитано 26.08.2009, 03:13   # 2
 
Аватар для Creepy Crawler
 
Регистрация: 31.03.2002
Адрес: г. Красногорск (Рядом с Москвой)
Сообщений: 1,767
Отправить сообщение для Creepy Crawler с помощью ICQ
Creepy Crawler вне форума
Прошу прощения, что не могу ничем помочь. Но название темы лучше исправить, это скорее не матан, а теория вероятности и математическая статистика
Цитата
Непрочитано 26.08.2009, 05:35   # 3
 
Аватар для Frod
 
Регистрация: 13.09.2007
Сообщений: 322
Отправить сообщение для Frod с помощью ICQ
Frod вне форума
слава сатане и моим одногруппникам что у меня это кончилось))
Цитата
Непрочитано 26.08.2009, 08:33   # 4
Family Guy
 
Аватар для DreamCatcher
 
Регистрация: 21.11.2005
Адрес: VRN
Возраст: 36
Сообщений: 2,157
Записей в дневнике: 14
Байк: GU mod
Отправить сообщение для DreamCatcher с помощью ICQ
DreamCatcher вне форума
Десятую?
Если никто днем не поможет жене скину, думаю решит
Цитата
Непрочитано 26.08.2009, 10:25   # 5
Shlisselburg Style
 
Аватар для Grisha_T34
 
Регистрация: 10.01.2003
Адрес: Шлиссельбург> Санкт-Петербург> Нарва
Возраст: 39
Сообщений: 4,394
Записей в дневнике: 22
Байк: Adamant A1 2006 Short\Chris King Pink\XTR\Middleburn
Отправить сообщение для Grisha_T34 с помощью ICQ
Grisha_T34 вне форума
Цитата:
Сообщение от creepy crawler Посмотреть сообщение
Прошу прощения, что не могу ничем помочь. Но название темы лучше исправить, это скорее не матан, а теория вероятности и математическая статистика
думаю тему лучше сменить на ПИЗ*ЕЦ
Цитата
Непрочитано 26.08.2009, 10:36   # 6
Ильнур
 
Аватар для JumpingMaster
 
Регистрация: 24.08.2004
Адрес: Сан Диего
Возраст: 40
Сообщений: 7,757
Записей в дневнике: 16
Байк: Zoo! Pitbull 06.
Отправить сообщение для JumpingMaster с помощью ICQ
JumpingMaster вне форума
фуф...как я рад что закончил год назад. юрфак...
Цитата
Непрочитано 26.08.2009, 12:59   # 7
 
Аватар для KEKS
 
Регистрация: 20.07.2007
Адрес: Москва, ВВЦ
Возраст: 34
Сообщений: 1,456
Записей в дневнике: 1
Байк: GU Le
Отправить сообщение для KEKS с помощью ICQ
KEKS вне форума
да это тер вер, я прошел и его и мат стат, часам к шести приду, попробую решить)
Цитата
Непрочитано 26.08.2009, 16:46   # 8
 
Регистрация: 28.01.2005
Адрес: сокольники
Возраст: 38
Сообщений: 2,001
Записей в дневнике: 6
Отправить сообщение для jacks с помощью ICQ
jacks вне форума
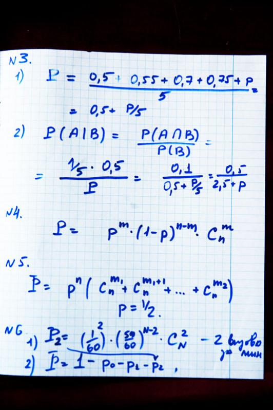
щас отфотаю. до 10 сделал. дальше условие непонятное. как из 8 чисел выбрать 50?))
Цитата
Непрочитано 26.08.2009, 17:00   # 9
 
Регистрация: 28.01.2005
Адрес: сокольники
Возраст: 38
Сообщений: 2,001
Записей в дневнике: 6
Отправить сообщение для jacks с помощью ICQ
jacks вне форума
вот
Миниатюры
Нажмите на изображение для увеличения
Название: 2.jpg
Просмотров: 345
Размер:	68.5 Кб
ID:	29407   Нажмите на изображение для увеличения
Название: 3.jpg
Просмотров: 343
Размер:	57.2 Кб
ID:	29408   Нажмите на изображение для увеличения
Название: 4.jpg
Просмотров: 262
Размер:	53.3 Кб
ID:	29409   Нажмите на изображение для увеличения
Название: 5.jpg
Просмотров: 329
Размер:	51.1 Кб
ID:	29410  
Цитата
Непрочитано 26.08.2009, 17:18   # 10
Ильнур
 
Аватар для JumpingMaster
 
Регистрация: 24.08.2004
Адрес: Сан Диего
Возраст: 40
Сообщений: 7,757
Записей в дневнике: 16
Байк: Zoo! Pitbull 06.
Отправить сообщение для JumpingMaster с помощью ICQ
JumpingMaster вне форума
jacks
№10))))))))))))))))))))


зы блин, какая же это жесть... вообще нихрена не понял...
Цитата
Непрочитано 26.08.2009, 18:45   # 11
 
Аватар для DiverS
 
Регистрация: 14.10.2005
Адрес: Воронеж
Возраст: 36
Сообщений: 2,528
Байк: мод
Отправить сообщение для DiverS с помощью ICQ
DiverS вне форума
Все эти задачи решаются подставлением цифр в формулы(думать не надо). Открой любой учебник по терверу и матстату
Цитата
Непрочитано 26.08.2009, 19:25   # 12
Очумелые ручки
 
Аватар для Water
 
Регистрация: 16.12.2005
Адрес: ювао
Возраст: 37
Сообщений: 2,207
Записей в дневнике: 2
Байк: простой
Отправить сообщение для Water с помощью ICQ
Water вне форума
ребят, свою позицию я описал в первом посте)
я туп как валенок... учебники? были бы они... смог бы... но никакого методического пособия у меня нет, а задание нужно срочно выполнить,,,
jacks, KEKS, спасибо)
Цитата
Непрочитано 26.08.2009, 22:24   # 13
Ильнур
 
Аватар для JumpingMaster
 
Регистрация: 24.08.2004
Адрес: Сан Диего
Возраст: 40
Сообщений: 7,757
Записей в дневнике: 16
Байк: Zoo! Pitbull 06.
Отправить сообщение для JumpingMaster с помощью ICQ
JumpingMaster вне форума
Цитата:
Сообщение от kефир Посмотреть сообщение
Неужели тебе даже первая задачка не ясна? Её вообще школьник способен решить. Никакая не жесть. Ты не видел настоящую жесть, видимо.. эх, гуманитарии..
я отписал это после поста с ответами, где были уравнения и формулы эти. там я ничего не понял. и первую задачу я не понял, да. и че теперь?

пс зануда(
Цитата
Непрочитано 26.08.2009, 22:57   # 14
 
Аватар для John
 
Регистрация: 16.08.2005
Адрес: г. Новосибирск
Возраст: 44
Сообщений: 900
Байк: Cove Handjob, BMX GT
Отправить сообщение для John с помощью ICQ
John вне форума
поражаюсь просто, как я раньше рубил во всех этих вещах, матаны, сопроматы, вышки, анализы, термехи, физики, информатики и пр. ...

ща на компе цифры в калькуляторе еле складываю, совсем старый стал, или от дропов мозги все растряс...
Цитата
матан | by Water
Ответить


Ваши права в разделе
Вы не можете создавать новые темы
Вы не можете отвечать в темах
Вы не можете прикреплять вложения
Вы не можете редактировать свои сообщения

BB коды Вкл.
Смайлы Вкл.
[IMG] код Вкл.
HTML код Выкл.

Быстрый переход


Часовой пояс GMT +4, время: 23:46.


Powered by vBulletin® Version 3.8.4
Copyright ©2000 - 2026, Jelsoft Enterprises Ltd. Перевод: zCarot